By Jessica Tonia, MSN, APRN, FNP-BC
Family Nurse Practitioner | Legal Nurse Consultant
In public health, few things are as well-studied—or as unforgiving—as vaccination policy. When immunization rates fall, disease follows. Not hypothetically. Not eventually. Predictably.
Recent federal actions associated with Robert F. Kennedy Jr.’s influence on vaccine policy are not simply political shifts. They represent a measurable rollback of decades of evidence-based public health infrastructure—and the consequences will be borne primarily by children.
We already know what happens next.
What Changed—and Why It Matters
In 2025, the federal government took the unprecedented step of removing all 17 members of the CDC’s Advisory Committee on Immunization Practices (ACIP). This expert body has historically guided U.S. vaccine schedules based on rigorous review of clinical trials, epidemiologic data, and post-marketing safety surveillance.
ACIP recommendations determine:
- CDC immunization schedules
- Insurance coverage under the Affordable Care Act
- Medicaid and Vaccines for Children (VFC) eligibility
- State school-entry vaccination requirements
Shortly after the committee was reconstituted with individuals known for questioning vaccine safety, long-standing recommendations—including the hepatitis B birth dose—were altered. Since its adoption in 1991, that single policy reduced childhood hepatitis B infections by 99%.
This was not a symbolic change. It was structural.
Vaccines Are Not “Lightly Tested”
A recurring claim used to justify vaccine skepticism is that vaccines are insufficiently studied. This is demonstrably false.
Vaccines undergo:
- Pre-clinical toxicology testing
- Phase I–III randomized clinical trials
- FDA Investigational New Drug (IND) oversight
- Lot-to-lot consistency testing
- Continuous post-licensure surveillance through VAERS, VSD, PRISM, and CMS-linked databases
Large-scale population studies across multiple countries have repeatedly confirmed that childhood vaccines—including MMR—do not cause autism. This scientific consensus has remained unchanged for more than 20 years.
Undermining that consensus does not improve safety—it erodes trust.
When Federal Policy Shifts, States Follow
Federal skepticism toward vaccines does not remain at the federal level. It cascades.
In 2025:
- Florida eliminated all childhood vaccination requirements for school entry
- West Virginia introduced religious exemptions after decades of banning all nonmedical exemptions
- Multiple states proposed legislation weakening school-entry mandates
These changes create geographic clustering of unvaccinated children, a phenomenon proven to amplify outbreak risk beyond what state-level averages reveal.
A landmark PNAS study demonstrated that when nonvaccination clusters locally, outbreak potential increases dramatically—even when overall coverage appears adequate.
This explains why outbreaks occur “unexpectedly.” They aren’t unexpected at all.
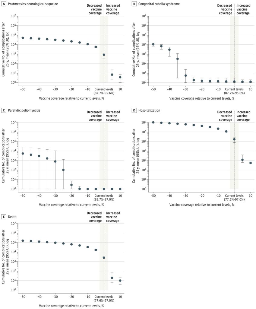
What the Data Shows Happens Next
A 2025 Journal of the American Medical Association modeling study examined what would happen if U.S. childhood vaccination rates continue to decline.
The findings were stark.
Over a 25-year period, a 50% decline in vaccination coverage would result in:
- Tens of thousands of children with permanent post-measles neurologic injury
- Thousands of cases of paralytic poliomyelitis
- Thousands of infants born with congenital rubella syndrome
- Millions of hospitalizations
- More than 150,000 preventable deaths
Measles—one of the most contagious diseases known (R₀ ≈ 12)—is projected to be the first vaccine-preventable disease to return to endemic transmission, potentially within 20 years.
That threshold requires 92–95% population immunity. Many U.S. communities are already below it.
This Is Not Theoretical—It’s Already Happening
Historical outbreak data confirm these projections.
A JAMA review of measles outbreaks found that among affected children:
- 59% were unvaccinated despite eligibility
- Over 70% had nonmedical exemptions
For pertussis, major U.S. epidemics showed 24–45% of cases in under- or unvaccinated individuals.
The COVID-19 pandemic compounded these vulnerabilities. Between 2020 and 2024:
- Routine childhood vaccination declined across all age groups
- One in five U.S. children became susceptible to measles
- Completion of recommended vaccine series dropped by more than 10 percentage points in some jurisdictions
In a single year, approximately 7,000 U.S. children were hospitalized with COVID-19, one in five required ICU care, and nearly all were unvaccinated.
Trust Is the Cornerstone of Public Health
Vaccines work when people trust the system that delivers them.
When government agencies contradict clinicians…
When expert committees are politicized…
When recommendations change without scientific justification…
Public trust fractures.
That vacuum is rapidly filled by misinformation, leaving families to navigate fear without evidence.
What Actually Works
The evidence is clear:
- School-entry vaccine requirements significantly increase immunization rates and reduce outbreaks
- Eliminating nonmedical exemptions reduces geographic clustering of unvaccinated children
- Multicomponent interventions—combining access, reminders, education, and provider engagement—are most effective
- Community-based strategies build trust and improve uptake, especially in underserved populations
No single intervention is sufficient. Strong systems save lives.
The Bottom Line
Rolling back vaccine recommendations is not a neutral act. It is a decision with predictable, measurable consequences.
Vaccines eliminated diseases not by chance, but by design. Weakening that design does not increase freedom—it increases risk.
Children will pay the price first

LEGAL / STANDARD-OF-CARE ANALYSIS FOR ATTORNEYS
Prepared by: FAQ By Nurse Jessi Consulting, LLC
Legal Nurse Consulting & Expert Review
Issue
Whether recent federal actions undermining established vaccine recommendations—particularly changes to ACIP membership and immunization guidance—constitute a deviation from evidence-based public health standards and foreseeably increase liability exposure for healthcare providers, institutions, and government entities.
Applicable Standard of Care
The accepted standard of care in preventive medicine and public health is defined by:
- CDC immunization schedules
- ACIP recommendations
- American Academy of Pediatrics (AAP) guidelines
- Peer-reviewed epidemiologic and clinical evidence
- Longstanding school-entry immunization policies
Courts have historically recognized these sources as authoritative benchmarks for reasonable medical and public health practice.
Deviation from Established Standards
1. Politicization of ACIP
The removal of all 17 ACIP members and replacement with individuals publicly skeptical of vaccine safety represents a departure from:
- Expert consensus methodology
- Evidence-based risk-benefit analysis
- Longstanding procedural safeguards
This undermines the reliability of resulting recommendations as standards of care.
2. Rollback of Hepatitis B Birth Dose
The hepatitis B birth dose has been standard since 1991 and is credited with a 99% reduction in childhood HBV infections.
Altering this recommendation without new, high-quality evidence constitutes a deviation from:
- Preventive pediatric care standards
- Accepted infectious disease control practices
Foreseeability of Harm
Foreseeability is well-established through:
- The 2025 JAMA modeling study projecting disease resurgence under declining vaccination
- Historical outbreak data linking nonmedical exemptions to measles and pertussis epidemics
- CDC and AAP documentation correlating exemption rates with disease incidence
The risk of:
- Measles outbreaks
- Congenital rubella syndrome
- Paralytic poliomyelitis
- Preventable pediatric death
is not speculative—it is statistically inevitable under declining coverage.
Causation and Policy Impact
Federal vaccine guidance directly influences:
- Insurance reimbursement
- Medicaid/VFC access
- State vaccination mandates
- Provider adherence to immunization schedules
Weakening federal recommendations predictably leads to:
- Reduced vaccine uptake
- Increased exemptions
- Geographic clustering of unvaccinated children
This establishes a causal chain between policy decisions and subsequent outbreaks.
Potential Areas of Liability
- Failure to warn families of known risks associated with nonvaccination
- Institutional negligence for abandoning established prevention standards
- Policy-driven harm where foreseeable risks were ignored despite available evidence
- Regulatory liability related to withdrawal of protective mandates
Expert testimony can establish that:
- The risks were known
- The harms were foreseeable
- The deviation from standard practice increased injury likelihood
Conclusion
From a legal and medical standpoint, rolling back vaccine recommendations represents a measurable deviation from accepted standards of care in preventive medicine and public health.
The scientific literature overwhelmingly demonstrates that such deviations increase morbidity, mortality, and disability—particularly among children.
These outcomes are foreseeable, preventable, and well-documented.
How FAQ By Nurse Jessi Consulting, LLC Can Assist
- Medical record review in vaccine-related injury and outbreak cases
- Standard-of-care analysis and expert reports
- Attorney education on vaccine policy, epidemiology, and causation
- Expert testimony support
📩 For legal consultations or expert review inquiries, contact:
FAQ By Nurse Jessi Consulting, LLC
🌐 https://faqbynursejessiconsulting.com